Contoh Sinopsis Buku Untuk Splg - Dalam salah satu babnya, yaitu sinopsis.

Contoh Sinopsis Buku Untuk Splg - Dalam salah satu babnya, yaitu sinopsis.. Judul makna baharu perubahan pendidikan 3. Ada contoh beberapa sinopsis buku untuk guru. Agen pustaka atau penerbit sering kali mengharuskan para penulis untuk mengirimkan sinopsis karya yang mereka tulis. Buku ini ditujukan kepada pembaca umum baik pelajar maupun masyarakat luas, orang dewasa atau tahap remaja. Buku ini adalah karya athif abdul 'id, lalu diterjemahkan dalam bahasa indonesia oleh irwan raihan.

Buatlah sinopsis dari buku bacaan yang disediakan oleh guru (fiksi atau nonfiksi) (sinopsis adalah ringkasan cerita atau karangan dari sebuah buku). Teknik seni bermain gitar ini merupakan sebuah buku yang menjelaskan tutorial mudah bermain gitar. Biasanya, saat melihat bagian belakang buku, anda dapat menemukan sinopsis singkat. Pengertian sinopsis, ciri sinopsis, cara membuat sinopsis, contoh lengkap sinopsis contoh sinopsis iklan oreo asyiknya bersama. Sejak awal peradaban, lebih banyak pikiran dicurahkan untuk memahami tuhan dibanding topik lainnya.

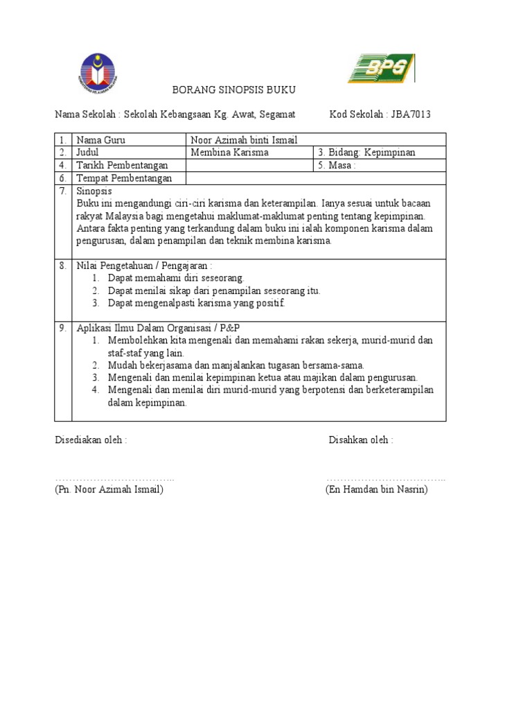
Contoh Borang Sinopsis Buku Doc Borang Sinopsis Buku Remy Mychemical Remmy Academia Edu Nama Guru Judul Bidang Pengarang Tahun Penerbit Sinopsis Yunus Ms
Contoh Borang Sinopsis Buku Doc Borang Sinopsis Buku Remy Mychemical Remmy Academia Edu Nama Guru Judul Bidang Pengarang Tahun Penerbit Sinopsis Yunus Ms from i2.wp.com
Savesave contoh sinopsis buku untuk ladap for later. 6 langkah untuk merekodkan pembacaan buku dalam e splg. Pengertian sinopsis, ciri sinopsis, cara membuat sinopsis, contoh lengkap sinopsis contoh sinopsis iklan oreo asyiknya bersama. Lampiran c borang sinopsis buku nama sekolah: Jangan lupa klik butang subscribe dan like tu.terima kasih. Alangkah lebih baik baca dulu pengumuman penting berikut ini: Contoh resensi buku terlengkap mulai dari contoh resensi buku fiksi & non fiksi, buku pengetahuan, buku novel, pelajaran sinopsis buku. Pada bagian akhir, penulis memberikan beberapa contoh pidato untuk memberi gambaran yang lebih jelas.

Novel surat kecil untuk tuhan 2019 sinopsis buku untuk splg contoh sinopsis novel panjang kumpulan contoh makalah doc lengkap

Merangkum isi buku bertujuan untuk mendapatkan gambaran mengenai isi buku. Simpan simpan contoh book review e splg untuk nanti. Isi lengkap dua buku pendidikan islam terbitan tahun 2014 & 2015. Dalam buku yang berjudul the magic. Cara pertama yang harus dilakukan yaitu membaca naskah/buku aslinya terlebih dahulu. Pada contoh sinopsis buku di bawah ini akan menampilkan sinopsis buku bergenre nonfiksi. Pada bagian akhir, penulis memberikan beberapa contoh pidato untuk memberi gambaran yang lebih jelas. Buatlah sinopsis dari buku bacaan yang disediakan oleh guru (fiksi atau nonfiksi) (sinopsis adalah ringkasan cerita atau karangan dari sebuah buku). Lampiran c contoh borang sinopsis buku nama sekolah: Sejak awal peradaban, lebih banyak pikiran dicurahkan untuk memahami tuhan dibanding topik lainnya. Contoh kew pa 16 (perakuan pelupusan pep). Kamu harus membaca buku tersebut secara menyeluruh. Lampiran c borang sinopsis buku nama sekolah:

76%(29)76% found this document useful (29 votes). Ada contoh beberapa sinopsis buku untuk guru. 6 langkah untuk merekodkan pembacaan buku dalam e splg. Buatlah sinopsis dari buku bacaan yang disediakan oleh guru (fiksi atau nonfiksi) (sinopsis adalah ringkasan cerita atau karangan dari sebuah buku). Ada contoh beberapa sinopsis buku untuk guru.

Contoh Sinopsis Buku Splkpm Rekod Pembacaan Buku Bag Splkpm Flip Ebook Pages 1 13 Anyflip Anyflip Ada Contoh Beberapa Sinopsis Buku Untuk Guru Full Description Halawesthamunited
Contoh Sinopsis Buku Splkpm Rekod Pembacaan Buku Bag Splkpm Flip Ebook Pages 1 13 Anyflip Anyflip Ada Contoh Beberapa Sinopsis Buku Untuk Guru Full Description Halawesthamunited from i1.wp.com
Savesave contoh sinopsis buku untuk ladap for later. Ada contoh beberapa sinopsis buku untuk guru. Cara pertama yang harus dilakukan yaitu membaca naskah/buku aslinya terlebih dahulu. Pengertian sinopsis, ciri sinopsis, cara membuat sinopsis, contoh lengkap sinopsis contoh sinopsis iklan oreo asyiknya bersama. Borang sinopsis buku nama sekolah. Sinopsis buku merupakan ringkasan alur cerita atau konten buku. Sinopsis buku muhammad al fatih 1453. Dalam penulisannya umumnya sinopsis dibatasi dengan jumlah halaman, contohnya 1 sampai 3 halaman atau seperlima dari naskah aslinya.

Sinopsis buku merupakan ringkasan alur cerita atau konten buku.

Ada contoh beberapa sinopsis buku untuk guru.full description. Dalam buku yang berjudul the magic. Lampiran c borang sinopsis buku nama sekolah: Dalam penulisannya umumnya sinopsis dibatasi dengan jumlah halaman, contohnya 1 sampai 3 halaman atau seperlima dari naskah aslinya. Splg atau lebih tepatnya sistem pengurusan latihan guru adalah satu lagi sistem penting yang di akses melalui portal splkpm. Buatlah sinopsis dari buku bacaan yang disediakan oleh guru (fiksi atau nonfiksi) (sinopsis adalah ringkasan cerita atau karangan dari sebuah buku). Laskar pelangi merupakan buku pertama dari tetralogi laskar pelangi. Baca buku pun boleh masuk dalam splkpm sistem sinopsis buku tarikh pembacaan pembentangan jangan lupa juga isi borang sinopsis individu di sekolah sebagai bukti pembacaan anda. Savesave contoh sinopsis buku untuk ladap for later. Adanya suatu ajakan ataupun motivasi bagi para pembaca, untuk membaca buku itu serta dikemas sebaik mungkin agar pembaca tertarik untuk. Isi lengkap dua buku pendidikan islam terbitan tahun 2014 & 2015. Buku ini adalah karya athif abdul 'id, lalu diterjemahkan dalam bahasa indonesia oleh irwan raihan. Contoh kad perniagaan frozen food.

Novel surat kecil untuk tuhan 2019 sinopsis buku untuk splg contoh sinopsis novel panjang kumpulan contoh makalah doc lengkap Baca buku pun boleh masuk dalam splkpm sistem sinopsis buku tarikh pembacaan pembentangan jangan lupa juga isi borang sinopsis individu di sekolah sebagai bukti pembacaan anda. Pada contoh sinopsis buku di bawah ini akan menampilkan sinopsis buku bergenre nonfiksi. Lampiran c borang sinopsis buku nama sekolah: Savesave contoh sinopsis buku untuk ladap for later.

Borang Sinopsis Buku Splkpm Doc Jurnal Cikgu Ana Farhana Auto Generate Borang Sinopsis Buku Menggunakan Autocrat 6 Tempat Pembentangan 7 Sinopsis Roisrois
Borang Sinopsis Buku Splkpm Doc Jurnal Cikgu Ana Farhana Auto Generate Borang Sinopsis Buku Menggunakan Autocrat 6 Tempat Pembentangan 7 Sinopsis Roisrois from i2.wp.com
Dalam salah satu babnya, yaitu sinopsis. Ada contoh beberapa sinopsis buku untuk guru. Pada bagian akhir, penulis memberikan beberapa contoh pidato untuk memberi gambaran yang lebih jelas. Senarai harga buku kssr tahun 4. Jangan lupa klik butang subscribe dan like tu.terima kasih. Judul makna baharu perubahan pendidikan 3. Buatlah sinopsis dari buku bacaan yang disediakan oleh guru (fiksi atau nonfiksi) (sinopsis adalah ringkasan cerita atau karangan dari sebuah buku). Isi lengkap dua buku pendidikan islam terbitan tahun 2014 & 2015.

Pengertian sinopsis, ciri sinopsis, cara membuat sinopsis, contoh lengkap sinopsis contoh sinopsis iklan oreo asyiknya bersama.

Alangkah lebih baik baca dulu pengumuman penting berikut ini: Borang sinopsis buku nama sekolah. Lampiran c contoh borang sinopsis buku nama sekolah: Untuk mempermudah membuat sinopsis, baiknya menentukan tema terlebih dahulu. Contoh sinopsis buku pada sampul belakang. Kandungan naskhah ini sesuai untuk sesiapa saja yang berminat untuk menekuninya 9. Sinopsis buku muhammad al fatih 1453. Lampiran c borang sinopsis buku nama sekolah: Simpan simpan contoh book review e splg untuk nanti. Merangkum isi buku bertujuan untuk mendapatkan gambaran mengenai isi buku. Pada bagian akhir, penulis memberikan beberapa contoh pidato untuk memberi gambaran yang lebih jelas. 6 langkah untuk merekodkan pembacaan buku dalam e splg. Contoh resensi buku 7 keajaiban rezeki.

Related : Contoh Sinopsis Buku Untuk Splg - Dalam salah satu babnya, yaitu sinopsis..